欢迎来到新利体育! 【登录旧版】
西北师范大学
西北师范大学
新利体育官网

赵鑫教授课题组研究揭示成人前瞻记忆能力的可塑性

文章来源:新利体育官网410


前瞻记忆在日常生活中具有重要作用,而在青春期儿童的学业成绩和人际关系中扮演着至关重要的角色。研究发现,前瞻记忆能够通过认知训练得到提高。

 近期,新利体育赵鑫教授课题组采用模拟星期任务,对19-24岁成人进行为期 8 天的前瞻记忆训练。并采用模拟星期任务,时间性前瞻记忆任务,事件性前瞻记忆任务评估了训练效果的近迁移效应;采用 Go/Nogo 任务,Stroop 任务,Flanker 任务,Switching 任务,工作记忆刷新任务,瑞文标准推理测验评估训练效果的远迁移效应。研究结果发现,成人训练组的前瞻记忆通过训练得到显著提高,训练效果在模拟星期任务上存在近迁移效应,在其他任务上均未发现迁移效应。该项研究揭示,成人的前瞻记忆能够通过训练得到提升,但是,结合课题组之前的研究工作显示,儿童的前瞻记忆训练效果要优于成人。


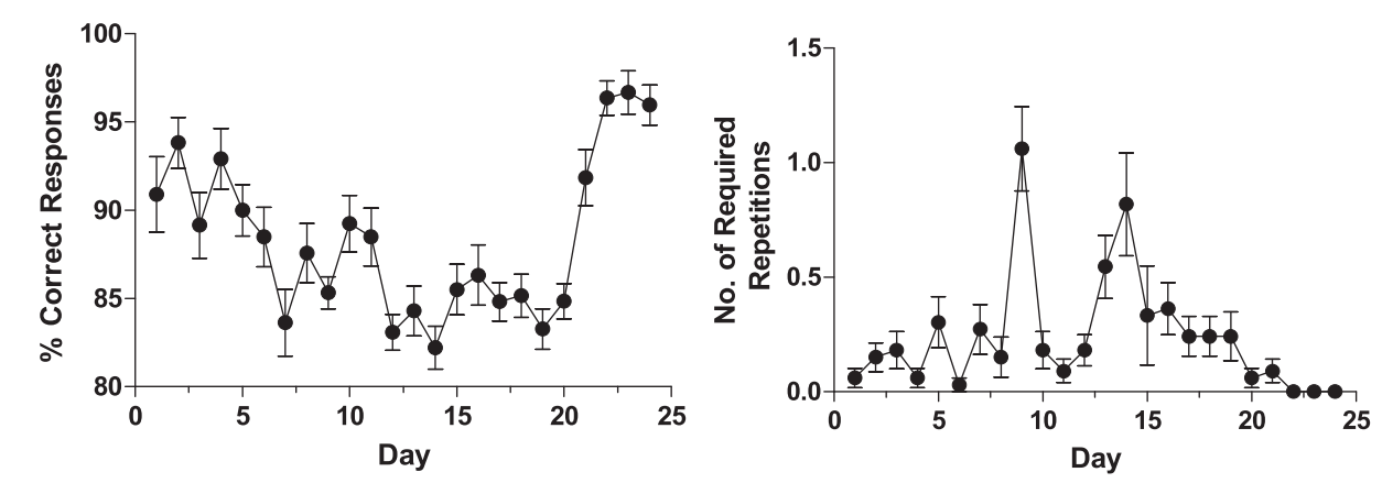
Figure 1. Left panel: Mean (±standard error of the mean; SEM) percentage of trials with a correct response, pooled across trial types, for each of the virtual

 days. Right panel: Mean (±SEM) number of repetitions required to achieve >70% response accuracy on each of the virtual days

该研究受国家自然科学基金的支持。

该文章已在线发表于《Memory

Xin Zhao, Junjun Fu & Joseph H. R. Maes (2019): Prospective memorytraining in young adults enhances trained-task but not transfer-task performance, 

Memory, DOI:10.1080/09658211.2019.1613435


版权所有:新利luck18(中国)体育·官方网站地址:兰州市安宁东路967号  邮编:730070

Copyright© ylzsl.cn 2017-2018 All Rights Reserved.   【管理员登陆】